林盈和代政嘉等证实人脑功能模块具有重叠式模块结构

发布人:高级管理员

       近日,我系代政嘉副教授和林盈博士指导研究生采用多目标演化算法探索人脑功能网络的模块化结构,发现:人脑功能模块确实具有重叠式模块结构;并且参与多个功能模块的重叠脑区(overlapping region)具有独特的拓扑属性和分类,对脑功能网络的全局效率有重要影响,与认知功能的灵活性紧密相关。这些发现不仅为人脑功能网络具有重叠式模块结构提供了更多证据,还首次揭示了重叠脑区的重要地位。该工作作为演化计算等先进计算方法在神经影像领域的创新运用,已发表于神经科学领域知名期刊Neuroimage

 

      以往研究发现人脑具有模块化结构,如默认网络、突显网络和视觉网络等,而且每一个模块对应特定认知功能。模块化使得大脑能够高效工作。目前大部分研究都假设,每个脑区只参与一个功能模块。然而,近年多项研究发现,复杂网络通常具有重叠式的模块化结构,人脑功能网络的模块可能同样具有这样的性质,即一个脑区可能属于多个功能模块。尽管少数先行学者已在这一领域作出了有益尝试,人脑功能网络的重叠式模块结构仍未清晰,特别是对于重叠脑区的特点和作用尚缺乏深入的讨论。针对上述问题,我们首次采用了多目标演化算法探测人脑静息态功能影像数据的重叠式模块结构。与传统的模块探测方法相比,该方法无须预设模块数目,且能够同时优化模块内与模块间的连接密度,避免了对两种连接密度的优化比例显式或隐式地作出假设,从而有利于对模块结构进行充分、无干预的探索。

 

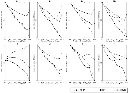
      林盈等得出人脑的重叠式模块结构后(如图1),进一步对重叠脑区进行了深入分析,发现重叠脑区的拓扑属性与非重叠脑区有显著区别,且可按拓扑属性聚类为整合型(Integrated Club)和少数支配型(Dominant Minority Club)(图2)。对两类重叠脑区进行的损伤模拟表明,重叠脑区对人脑功能网络的全局效率有重要作用,其影响甚至可以超过某些核心脑区(Hub Region)(图3)。最后,我们分析了重叠脑区与认知功能灵活性的关系,发现重叠脑区相关的认知功能相比于非重叠脑区更为灵活多变,且少数支配型脑区的灵活性更甚于整合型脑区(图4)。

 

      该论文第一作者为林盈博士,通讯作者代政嘉副教授,并得到了国家自然科学基金和广东省自然科学基金等项目资助。NeuroImage是神经科学领域的高水平SCI期刊,2017年影响因子5.426,在神经影像领域SCI期刊中排名第一。

 

 

      论文信息:

      Lin, Y.#, Ma, J., Gu, Y., Yang, S., Li, L. M.-W., Dai, Z.* (2018) Intrinsic overlapping modular organization of human brain functional networks revealed by a multiobjective evolutionary algorithm. Neuroimage, 181: 430-445.

 

      作者信息:

 

      林盈,yl1111永利集团讲师,计算机科学与技术博士,主要研究方向为演化计算及其在计量心理学、计算神经科学领域的创新应用。近年来在国际学术期刊和国际学术会议上发表论文30余篇,引用700余次,先后主持国家自然科学基金项目2项。

 

      代政喜,yl1111永利集团副教授,认知神经科学博士,主要研究方向为神经影像技术及其在神经精神疾病(阿尔茨海默病,抑郁症,精神分裂症等疾病)中的应用。近年来在本领域国际期刊发表SCI论文30篇,其中以第一/共同第一作者和通讯作者在Cerebral Cortex、Schizophrenia Bulletin、Radiology、NeuroImage、Social cognitive and affective neuroscience等领域知名期刊发表研究论文14篇。论文被Nature Reviews系列期刊(包括Nature Reviews Neuroscience和Nature Reviews Neurology)、Trends in Cognitive Sciences、The American Journal of Psychiatry, PNAS、BRAIN等国际顶尖期刊多次正面引用,论文累计影响因子约为140,SCI引用1200余次。

林盈和代政嘉等证实人脑功能模块具有重叠式模块结构

 图1: 人脑功能网络的重叠式模块化结构. OM: 重叠模块

林盈和代政嘉等证实人脑功能模块具有重叠式模块结构

 图2: 重叠脑区的拓扑属性. Non-OLP: 非重叠脑区; I-Club: 整合型重叠脑区; DM-Club: 少数支配型重叠脑区; Dc: 介数中心度; Ec: 特征向量中心度; Bc: 中介中心性; CBc: 交流中价中心性; lE: 局部效率; gE: 全局效率; Z: 模块内度的Z分数; Pc: 参与系数.

林盈和代政嘉等证实人脑功能模块具有重叠式模块结构

 图3: 损伤分析. OLP: 损伤重叠脑区; HUB: 损伤相应拓扑属性意义下的核心脑区; RND: 损伤随机选择的脑区

林盈和代政嘉等证实人脑功能模块具有重叠式模块结构

图4: 脑区的认知功能灵活性分析. Non-OLP: 非重叠脑区; I-Club: 整合型重叠脑区; DM-Club: 少数支配型重叠脑区.